女王调教

大气污染控制与模拟团队马磊副教授Nat. Commun.发文揭示Pt/CeO2团簇催化剂上丙烯催化氧化的动态反应机制

女王调教 2025-10-21 61

    近日,女王调教 大气污染控制与模拟团队马磊副教授在《Nature Communications》上发表了题为“Temperature-driven mechanistic transition in propylene oxidation over Pt/CeO2 ensemble catalysts”的研究成果。该研究揭示了Pt/CeO2团簇催化剂在丙烯(C3H6)氧化反应中温度驱动的动态机制转变,通过氢活化策略显著提升了催化氧化性能,明确了金属Pt团簇为本征催化活性位点,阐明了170 °C阈值温度时反应路径发生根本变化。这不仅为高效贵金属催化剂设计提供了新思路,还对机动车尾气净化等实际应用具有重要指导意义。论文第一完成单位为女王调教 绿色造纸与资源循环全国重点实验室。

    研究简介

    C3H6作为活性较高的烯烃类挥发性有机物(VOCs),在大气光化学过程中对臭氧(O3)生成具有重要作用,同时其氧化产物也可贡献一定量的二次有机气溶胶(SOA)。丙烯催化氧化是机动车尾气污染控制中的关键反应之一,Pt/CeO2催化剂因其高活性和氧存储能力而备受关注。然而,长期以来,Pt/CeO2催化剂的反应活性位点以及温度对反应机制的影响存在争议。本研究通过简单的氢活化处理,成功构建了金属Pt团簇活性位点,使50%丙烯氧化转化率的反应温度(T50)降低了120 °C。研究进一步确认了丙烯氧化的动态催化反应路径,即低温下双分子吸附,高温下界面活化主导。结合多种原位表征技术和理论计算,研究发现反应路径在170 °C附近存在一个阈值温度:低温时丙烯氧化遵循经典的Langmuir-Hinshelwood模型,而高温时O2活化位点从Pt团簇表面迁移到Pt-O-Ce界面,这一动态转变机制为理解催化剂在真实工况下的催化反应行为提供了新视角。

    研究内容

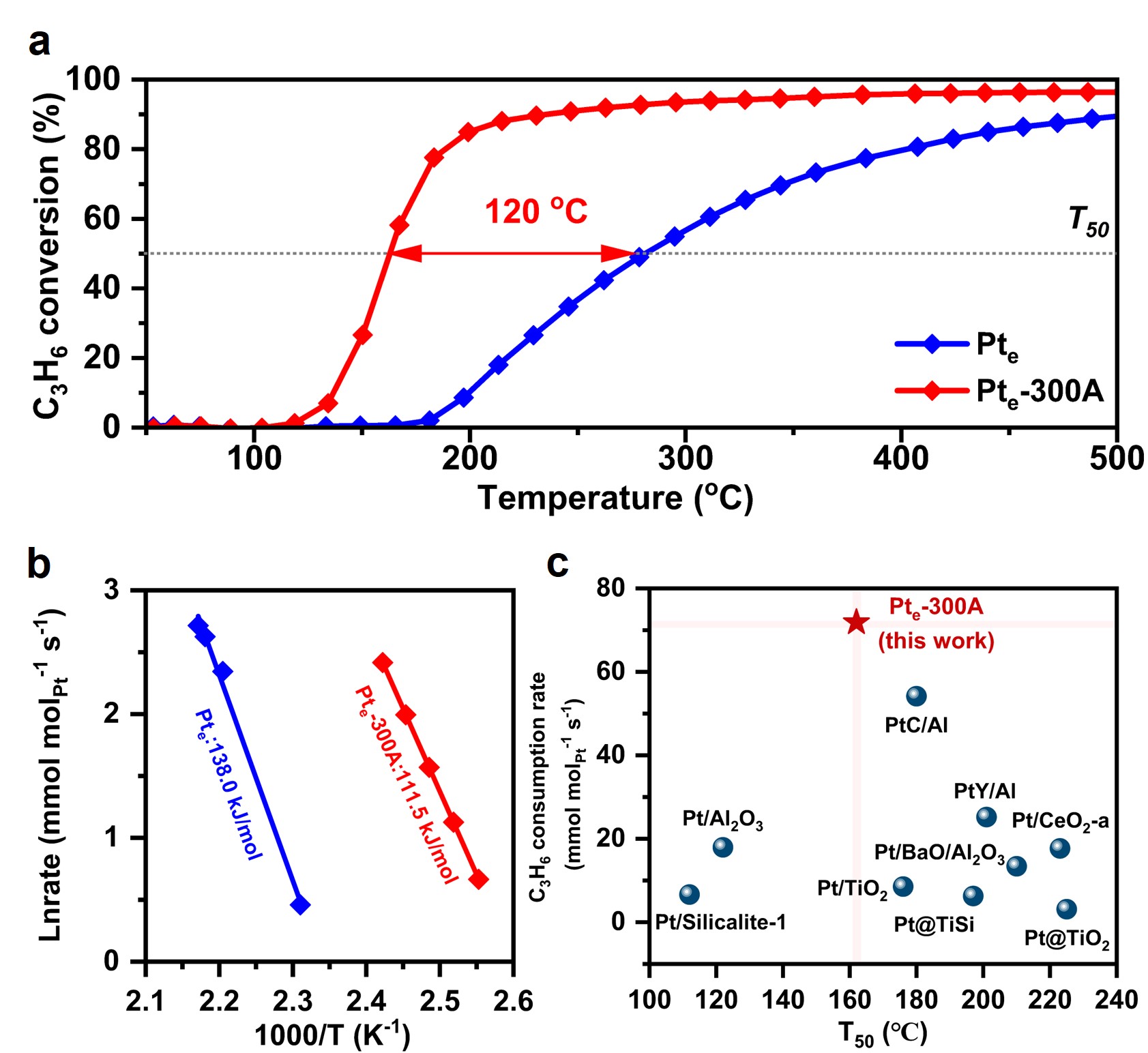
    催化反应性能提升,氢活化的关键作用:研究通过氢活化处理Pt/CeO2催化剂(Pte-300A),显著提升了丙烯氧化活性。如图1所示,未活化的Pte催化剂T50约为282 °C,而Pte-300A的T50降至160 °C,表观活化能从138.0 kJ/mol降低至111.5 kJ/mol。对比其他Pt基催化剂,Pte-300A表现出优异的反应速率,且在水蒸气存在下稳定性良好,具备实际应用潜力。

图1. 负载型Pt催化剂上C3H6氧化的催化活性与表观活化能。a C3H6氧化起燃曲线。反应条件:1000 ppm C3H6,10% O2,N2平衡气,质量空速(WHSV)为240,000 mL g⁻¹ h⁻¹;b C3H6氧化的阿伦纽斯曲线;c Pte-300A催化剂与文献报道的Pt催化剂在C3H6氧化反应活性的对比。

    催化剂结构分析表征,金属Pt团簇活性位点:通过高角度环形暗场扫描透射电子显微镜(HAADF-STEM)和X射线吸收光谱(XAS)等技术,揭示了氢活化引起的结构重构。如图2所示,未活化的Pte催化剂以单层Pt团簇为主(直径0.45 nm),而Pte-300A形成了多层Pt团簇(直径0.84 nm),团簇顶层为金属Pt位点(Pt0)。原位DRIFTS和XPS结果进一步证实,Pt0位点具有更高的电子密度和吸附反应特性,是丙烯氧化的关键活性位点。

图2. Pte和Pte-300A催化剂的结构表征与活性位点确认。(a,b)Pte和Pte-300A的HAADF-STEM图像(黄色圆圈:Pt单原子;红色虚线圆圈:平面单层Pt团簇;红色实线圆圈:多层Pt团簇);(c)Pte和Pte-300A在30 ℃下CO吸附的原位DRIFTS光谱;(d)Pte和Pte-300A的归一化Pt L3边XANES谱;(e)Pte和Pte-300A在R空间中的傅里叶变换k2加权EXAFS谱;(f)Pt箔、PtO2、Pte和Pte-300A样品的Pt L3边EXAFS小波变换图。

    界面性质动态变化,170 °C阈值温度的发现:利用原位拉曼光谱(In situ Raman)、近常压XPS(NAP-XPS)和电子能量损失谱(EELS),追踪了反应过程中催化剂界面的演化。如图3所示,当温度低于170 °C时,CeO2的氧空位和过氧化物物种浓度稳定。一旦温度超过170 °C,氧空位被填充,Ce3+比例下降,表明O2在Pt-O-Ce界面活化并参与反应。这一阈值温度在CO催化氧化中也得到验证,相关理论具有普适性。

图3. Pte-300A催化剂在C3H6氧化过程中的动态变化。(a)Pte-300A催化剂上100至250 ℃温度区间内C3H6氧化的原位拉曼光谱;(b)100至225 ℃温度范围内过氧化物比例与缺陷峰强度比(ID/IF2g)的变化趋势;(c)不同温度下Ce 3d轨道的近常压X射线光电子能谱(NAP-XPS);(d)和(e)分别为Pte-300A在162 ℃和188 ℃反应后的电子能量损失谱(EELS)分析结果。

    温度驱动反应机制变化,从Langmuir-Hinshelwood到界面活化:通过原位DRIFTS和动力学研究,阐明了反应路径的温度依赖性。如图4所示,低温时(如162 °C),C3H6和O2竞争吸附在金属Pt团簇上,遵循Langmuir-Hinshelwood模型,氧辅助的sp3 C-H键脱氢为速率决定步骤。高温时(如188 °C),C3H6完全覆盖Pt位点,O2则在Pt-O-Ce界面活化,两者表面覆盖度发生显著变化,反应级数变化表明机制转变。DFT计算验证了Pt0位点具有更低的脱氢能垒(1.53 eV vs. Ptδ+的2.41 eV),支持了实验结论。研究通过多尺度原位反应表征与理论计算结合,揭示了温度驱动下催化剂界面和反应机制的动态演变过程,这一发现不仅深化了对催化反应构效关系的理解,还为优化设计负载型贵金属催化剂提供了理论依据。

图4. Pte-300A催化剂上C3H6氧化反应机理与表面中间体的研究。(a)C3H6与O2稳态共吸附反应的原位DRIFTS光谱;(b)C3H6氧化的二维等高线图;(c)和(d)分别展示了162 ℃和188 ℃条件下C3H6与O2分压对Pte-300A催化剂上C3H6消耗速率的影响;(e)DFT计算获得的C3H6氧化反应机理与反应能垒,包括详细过渡态和自由能变化。

    作者简介

    论文第一作者为女王调教 2024届博士毕业生李梓豪(现就职于中国石油集团石油化工研究院),论文通讯作者为女王调教 马磊副教授、加州大学河滨分校刘福东副教授,合作单位包括华东理工大学、中国人民大学、移动源污染排放控制技术国家工程实验室等。