女王调教

环院智慧|强志民团队ES&T发文揭示卤素自由基与溶解性有机质反应的温度效应

2025-10-25 775

       近日,女王调教 强志民教授团队与中山大学杨欣教授合作在Environmental Science & Technology上发表了题为“Temperature Dependence of Halogen Radical Reactivity with Dissolved Organic Matter”的研究论文。本文揭示了卤素自由基与溶解性有机质(DOM)的反应速率常数随温度的变化规律,量化了反应活化能、焓变与熵变等热力学参数,并开发了基于DOM理化性质的反应热力学参数预测模型。研究为理解卤素自由基在天然水体与高级氧化过程中的反应过程提供了基础数据,对揭示季节变化和水温波动下自由基化学行为具有重要意义。


研究简介

       在天然水体和市政水处理系统中,由于卤素离子的广泛存在,卤素自由基(RHS)可通过多种途径生成,并对污染物的降解与有害卤代副产物的生成起重要作用。现有RHS的研究主要集中在室温条件下,然而不同季节、不同纬度地区水温差异显著,势必会影响RHS的生成及转化过程。DOM作为RHS的主要清除剂,极大影响RHS在水体中的浓度和归趋,然而目前仍缺乏DOM与RHS反应的温度依赖性研究。

       鉴于此,本文在9−39 °C水温范围内测定了4种常见卤素自由基(Cl·、Cl2·、Br和Br2·)与不同来源DOM的反应动力学常数,并首次建立了其温度依赖模型。结果显示,Cl·和Br·与DOM之间的反应几乎为扩散控制,受温度影响较小;而Cl2·−和Br2·−与DOM之间的反应具有显著温度敏感性。研究不仅量化了这些反应的活化能(Ea)、指前因子(A)、反应焓变(ΔH)与熵变(ΔS)等热力学参数,还开发了基于DOM理化特征的反应热力学参数预测模型,可用于预测不同温度下卤素自由基与DOM的反应速率。将温度依赖性纳入动力学模型后,可以定量解释高级氧化过程中有机污染物在不同温度下的降解行为。研究构建了将水温、DOM理化性质与水体中卤素自由基归趋联系起来的定量框架。


研究内容

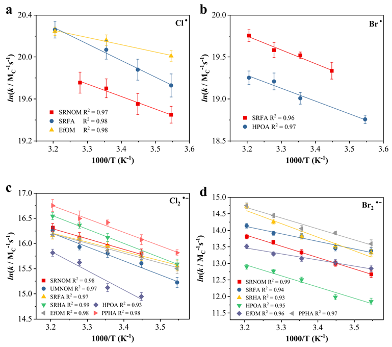
       一、反应速率常数的温度依赖性

       在25°C水温下,RHS与DOM的反应速率常数(k)处于不同数量级:Cl·和Br·在108 MC−1s−1,Cl2·在106~107 MC−1s−1,Br2·在105~106 MC−1s−1。这4种RHS与DOM反应的k值的温度依赖性符合阿伦尼乌斯方程,表观活化能(Ea)为5.8−34.1 kJ mol−1。Cl·和Br·与DOM的反应几乎无能垒,平均Ea分别为9.7(Cl·)和13.2 kJ mol−1(Br·);而Cl2·和Br2·的反应对温度更为敏感,平均Ea均超过20 kJ mol−1

图1. DOM与4种卤素自由基反应速率常数的温度依赖性。

       二、经验模型预测阿伦尼乌斯参数

       河流、湖泊、二级出水等不同来源的DOM性质各异,有限的反应动力学测定难以完整描述不同水体中DOM与RHS的反应行为。鉴于此,本文开发了基于DOM理化特征的反应热力学预测模型,成功预测了DOM和RHS的反应活化能(Fig. 2a)和指前因子(Fig. 2b);进一步将预测的Ealn(A)代入阿伦尼乌斯方程中,可用于预测不同温度下RHS与不同来源DOM的反应速率(Fig. 2c)。

图2. 实验测定值与预测值之间的相关性:(a)活化能(Ea),(b)指前因子(ln(A)),(c)不同温度下卤素自由基与DOM的反应速率常数(k)。


       三、热力学分析

       利用艾林(Eyring)方程揭示了反应活化焓和活化熵的分布,发现Cl·和Br·与DOM的反应主要受熵控制,而Cl2·和Br2·与DOM的反应受焓与熵的共同驱动,表现出有序的双分子碰撞特征。热力学分析结果与RHS和DOM的反应动力学测定结果一致。

·

图3. SRNOM与Cl·, Cl2·和Br2·−反应的Eyring图。斜率和截距分别代表-ΔH/RΔS/R


       四、环境建模应用

       由于水温影响RHS与DOM的反应活性,可能会重塑高级氧化过程中的自由基组成。在紫外/过硫酸盐+Cl+DOM的模拟体系中,我们发现一个反常现象,即温度的上升会抑制特定污染物的降解。这是由于温度上升会降低Cl2·浓度并增加HO·浓度(Fig. 4a),某些与Cl2·反应较快的有机污染物的降解可能会受到抑制。利用本文所测定的热力学参数,结合动力学模拟能够较好地预测该过程。

图4.(a)UV/PDS+Cl体系中的自由基稳态浓度;(b)各类自由基及紫外光对双氯芬酸(DCF)降解的贡献。柱状图表示根据模型计算的自由基浓度所得的DCF降解速率,点表示实验测得的速率;(c)不同温度下微污染物的实验测得一级降解速率常数(kexp)与预测值(kpre)的相关关系。


小结

       本文首次明确了卤素自由基与DOM反应动力学的温度依赖性,并建立了反应热力学参数与DOM理化性质之间的经验关系,这有助于预测水环境中卤素自由基的浓度及暴露剂量,对理解季节变化和水温波动条件下自由基介导的污染物降解及有害副产物生成具有重要的指导意义。


作者介绍

       雷宇,女王调教 助理教授,博士生导师,主要从事瞬态光谱技术在水质化学风险控制、环境活性物种分析等领域应用的工作,已发表SCI论文50余篇(包括Environ. Sci. Technol.和Water Res.30余篇),多项工作入选ESI热点论文、高被引论文、ES&T Best Paper Award等。主持博士后创新人才支持计划、国家自然科学青年基金、上海市面上基金等项目。获中山大学优秀博士论文、奥加诺(水质与水环境)特等奖等。任国际水协会中国青年委员会委员、Chinese Chemical Letters青年编委等。

       强志民,女王调教 特聘教授,博士生导师,国家杰出青年基金获得者,国家百千万人才工程入选者,美国注册工程师(P.E.)。曾任环境水质学国家重点实验室主任、中国科女王调教 饮用水科学与技术重点实验室主任等,兼任教育部高校环境科学与工程类专业指导委员会委员、中国城镇供水排水协会理事、中国环境科学学会水处理与回用专业委员会常务委员、中华环保联合会水环境治理专业委员会委员等。长期从事水深度处理、消毒及输配研究,主持国家自然科学基金、国家重点研发计划、国家水专项、国际合作等40余个科研项目,发表SCI论文265篇(H-index 66)及中文核心期刊论文120余篇,连续入选Elsevier中国高被引学者,获授权发明专利20余项,在水中新污染物控制、紫外/臭氧消毒与高级氧化、管网水质保障等方面取得系列创新成果,多项成果获规模化工程应用。